Assume a multivariate normal distribution for the vector of observations Y
Y ~ MVN (X
, V)
For the fixed effects model
Y = X
+ E
we typically assume Y ~ MVN (X
,
2I)
In the overparameterised model, an estimate of
, is given by
![]()
and the variance-covariance matrix of this estimator is
| D ( |
= D (GXTY) |
= GXTD (Y) XGT |
|
| = |
Interest is only in estimable linear combinations of the vector of parameters . A linear combination cT
, is defined to be estimable if cT
, can be written as some linear function of the mean vector E(Y), i.e., with t a (N x 1)-vector (N the number of observations)
cT
= tTE(Y) = tTX![]()
From this definition it follows that cT
, is well defined in the sense that it does not depend on the particular choice of G taken to obtain . Indeed
cT
= tT X
= tTXGXTY
and XGXT is invariant to G (see (3) below).
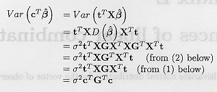
The variance of an estimable function can then be obtained by

So also the variance of cT
is now
independent of the particular choice of G due to the invariance of XGXT.
Some basic properties of G, the generalised inverse of XTX, used in the derivation of the variance are
(1) GT is also a generalised inverse of XTX
(2) XGXTX = X
(3) XGXT is invariant to G. i.e. is the same whatever G.
To provide the reader with some experience in matrix calculations we prove these three statements.
Since G is a generalised inverse of XTX, it follows that
XTXGXTX = XTX
Taking the transpose gives
(XTXGXTX)T = XTXGTXTX = XTX
which proves (1).
Starting from (1), we find
XTXGTXTX = XTX
So
XTX XTXGTXTX = 0
This can also be written as (check this by multiplying out)
(XTXGTXT XT ) (XTXGTXT XT )T = 0
In general, ATA = 0 implies A = 0. This can be easily seen by observing that the its` diagonal entry of ATA is equal to the sum of squares of the elements of the ith row of A. These diagonal entries can only be zero if A = 0.
If we apply it to our situation, it means that
XTXGTXT = XT
Taking the transpose gives
XGXTX = X
which is (2).
To prove (3), suppose that F is another generalised inverse of XTX. Because of (2)
XGXTX = X = XFXTX
Therefore
XGXTXGTXT XGXTXFTXT XFXTXGTXT + XFXTXFTXT = 0
which can be rewritten as
(XGXT XFXT) (XGXT XFXT) T = 0
Because ATA = 0 implies A = 0, it follows that
XGXT = XFXT
which proves (3).