We illustrate how the expected mean squares can be obtained for a one-way analysis of variance with a fixed effects model. By the same reasoning, expected mean squares for more complex designs can be obtained.
For the cell means model
Ykl = µk + ekl, k = 1, , a; l = 1, , n
that is a balanced data set (equal number of observations n for each treatment level ) write

with N = na.
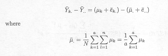
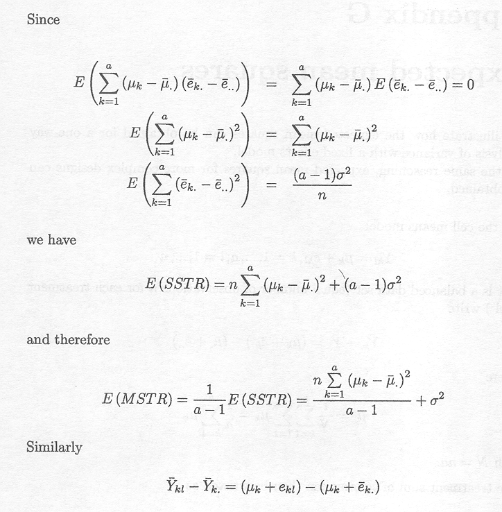
The treatment sum of squares can then be written as


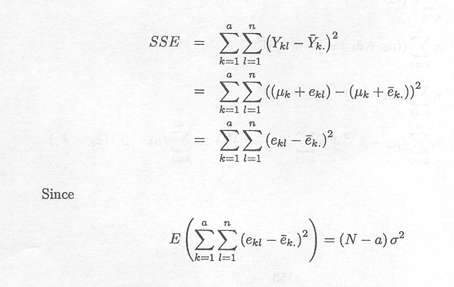
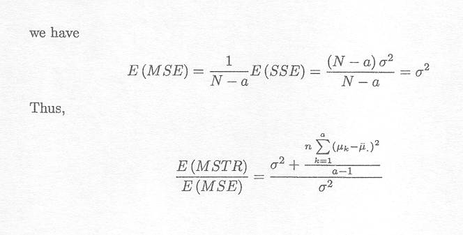
The error sum of squares can then be written as

